2025-02-05
R) and understand the difference between fitted regression plane and regression lines.SLR helped us establish the foundation for a lot of regression
What did we learn in SLR??
Model Fitting
lm() function in RModel Use
Model Evaluation/Diagnostics


Model Selection
Building a model
Selecting variables
Prediction vs interpretation
Comparing potential models
Model Fitting
Find best fit line
Using OLS in this class
Parameter estimation
Categorical covariates
Interactions
Model Evaluation
Model Use (Inference)
R) and understand the difference between fitted regression plane and regression lines.Simple Linear Regression
We use one predictor to try to explain the variance of the outcome
\[ Y = \beta_0 + \beta_1 X + \epsilon \]
Multiple Linear Regression
We use multiple predictors to try to explain the variance of the outcome
\[ Y = \beta_0 + \beta_1 X_1 + \beta_2 X_2 + ... + \beta_{k}X_{k}+ \epsilon \]
\[Y = \beta_0 + \beta_1 X_1 + \beta_2 X_2+ \ldots + \beta_k X_k + \epsilon\]
or on the individual (observation) level:
\[y_i = \beta_0 + \beta_1 x_{i1} + \beta_2 x_{i2}+ \ldots + \beta_k x_{ik} + \epsilon_i,\ \ \text{for}\ i = 1, 2, \ldots, n\]
\(Y\) is our dependent variable
\(X_1, X_2, \ldots, X_k\) are our \(k\) independent variables
Let’s say many other variables were measured for each country, including food supply
In SLR, we only had one predictor and one outcome in the model:
Outcome: Life expectancy = the average number of years a newborn child would live if current mortality patterns were to stay the same.
Predictor: Adult literacy rate(predictor) is the percentage of people ages 15 and above who can, with understanding, read and write a short, simple statement on their everyday life.
# Load the data - update code if the file is not in the same location
# on your computer
gapm <- read_excel("data/Gapminder_vars_2011.xlsx",
na = "NA") # important!!!!
gapm_sub <- gapm %>%
drop_na(LifeExpectancyYrs, FemaleLiteracyRate, FoodSupplykcPPD)
# above drops rows with NAs in any of the three variables
glimpse(gapm_sub)Rows: 72
Columns: 18
$ country <chr> "Afghanistan", "Albania", "Angola",…
$ CO2emissions <dbl> 0.4120, 1.7900, 1.2500, 5.3600, 4.6…
$ ElectricityUsePP <dbl> NA, 2210, 207, NA, 2900, 1810, 258,…
$ FoodSupplykcPPD <dbl> 2110, 3130, 2410, 2370, 3160, 2790,…
$ IncomePP <dbl> 1660, 10200, 5910, 18600, 19600, 70…
$ LifeExpectancyYrs <dbl> 56.7, 76.7, 60.9, 76.9, 76.0, 73.8,…
$ FemaleLiteracyRate <dbl> 13.0, 95.7, 58.6, 99.4, 97.9, 99.5,…
$ population <dbl> 2.97e+07, 2.93e+06, 2.42e+07, 9.57e…
$ WaterSourcePrct <dbl> 52.6, 88.1, 40.3, 97.0, 99.5, 97.8,…
$ geo <chr> "afg", "alb", "ago", "atg", "arg", …
$ four_regions <chr> "asia", "europe", "africa", "americ…
$ eight_regions <chr> "asia_west", "europe_east", "africa…
$ six_regions <chr> "south_asia", "europe_central_asia"…
$ members_oecd_g77 <chr> "g77", "others", "g77", "g77", "g77…
$ Latitude <dbl> 33.00000, 41.00000, -12.50000, 17.0…
$ Longitude <dbl> 66.00000, 20.00000, 18.50000, -61.8…
$ `World bank region` <chr> "South Asia", "Europe & Central Asi…
$ `World bank, 4 income groups 2017` <chr> "Low income", "Upper middle income"…
Simple linear regression population model
\[\begin{aligned} \text{Life expectancy} & = \beta_0 + \beta_1 \text{Female literacy rate} + \epsilon \\ \text{LE} & = \beta_0 + \beta_1 \text{FLR} + \epsilon \end{aligned}\]
Multiple linear regression population model (with added Food Supply)
\[\begin{aligned} \text{Life expectancy} & = \beta_0 + \beta_1 \text{Female literacy rate} + \beta_2 \text{Food supply} + \epsilon \\ \text{LE} & = \beta_0 + \beta_1 \text{FLR} + \beta_2 \text{FS} + \epsilon \end{aligned}\]
R) and understand the difference between fitted regression plane and regression lines.New population model for example:
\[\text{LE} = \beta_0 + \beta_1 \text{FLR} + \beta_2 \text{FS} + \epsilon\]
# Fit regression model:
mr1 <- gapm_sub %>%
lm(formula = LifeExpectancyYrs ~ FemaleLiteracyRate + FoodSupplykcPPD)
tidy(mr1, conf.int=T) %>% gt() %>% tab_options(table.font.size = 35) %>% fmt_number(decimals = 3)| term | estimate | std.error | statistic | p.value | conf.low | conf.high |
|---|---|---|---|---|---|---|
| (Intercept) | 33.595 | 4.472 | 7.512 | 0.000 | 24.674 | 42.517 |
| FemaleLiteracyRate | 0.157 | 0.032 | 4.873 | 0.000 | 0.093 | 0.221 |
| FoodSupplykcPPD | 0.008 | 0.002 | 4.726 | 0.000 | 0.005 | 0.012 |
Fitted multiple regression model:
\[\begin{aligned} \widehat{\text{LE}} &= \widehat{\beta}_0 + \widehat{\beta}_1 \text{FLR} + \widehat{\beta}_2 \text{FS} \\ \widehat{\text{LE}} &= 33.595 + 0.157 \ \text{FLR} + 0.008\ \text{FS} \end{aligned}\]
summary() to extract information!
Call:
lm(formula = LifeExpectancyYrs ~ FemaleLiteracyRate + FoodSupplykcPPD,
data = .)
Residuals:
Min 1Q Median 3Q Max
-17.715 -2.328 1.052 3.022 9.083
Coefficients:
Estimate Std. Error t value Pr(>|t|)
(Intercept) 33.595479 4.472049 7.512 1.56e-10 ***
FemaleLiteracyRate 0.156699 0.032158 4.873 6.75e-06 ***
FoodSupplykcPPD 0.008482 0.001795 4.726 1.17e-05 ***
---
Signif. codes: 0 '***' 0.001 '**' 0.01 '*' 0.05 '.' 0.1 ' ' 1
Residual standard error: 5.391 on 69 degrees of freedom
Multiple R-squared: 0.563, Adjusted R-squared: 0.5503
F-statistic: 44.44 on 2 and 69 DF, p-value: 3.958e-13
.qmd- file. I hid it from view in the html file.\[\begin{aligned} \widehat{\text{LE}} &= \widehat{\beta}_0 + \widehat{\beta}_1 \text{FLR} + \widehat{\beta}_2 \text{FS} \\ \widehat{\text{LE}} &= 33.595 + 0.157 \ \text{FLR} + 0.008\ \text{FS} \end{aligned}\]
\[\begin{aligned} \widehat{\text{LE}} &= 33.595 + 0.157 \ \text{FLR} + 0.008\ \text{FS}\\ \widehat{\text{LE}} &= 33.595 + 0.157 \ \text{FLR} + 0.008\cdot 3000\\ \widehat{\text{LE}} &= 33.595 + 0.157 \ \text{FLR} + 25.446 \\ \widehat{\text{LE}} &= 59.042 + 0.157 \ \text{FLR} \end{aligned}\]
R) and understand the difference between fitted regression plane and regression lines.General interpretation for \(\widehat{\beta}_0\)
The expected \(Y\)-variable is (\(\widehat\beta_0\) units) when the \(X_1\)-variable is 0 \(X_1\)-units and \(X_2\)-variable is 0 \(X_1\)-units (95% CI: LB, UB).
General interpretation for \(\widehat{\beta}_1\)
For every increase of 1 \(X_1\)-unit in the \(X_1\)-variable, adjusting/controlling for \(X_2\)-variable, there is an expected increase/decrease of \(|\widehat\beta_1|\) units in the \(Y\)-variable (95%: LB, UB).
General interpretation for \(\widehat{\beta}_2\)
For every increase of 1 \(X_2\)-unit in the \(X_2\)-variable, adjusting/controlling for \(X_1\)-variable, there is an expected increase/decrease of \(|\widehat\beta_2|\) units in the \(Y\)-variable (95%: LB, UB).
\[\begin{aligned} \widehat{Y} = &\widehat{\beta}_0 + \widehat{\beta}_1 0 + \widehat{\beta}_2 0\\ \widehat{Y} = &\widehat{\beta}_0 \\ \end{aligned}\]
Interpretation: The expected \(Y\)-variable is (\(\widehat\beta_0\) units) when the \(X_1\)-variable is 0 \(X_1\)-units and \(X_2\)-variable is 0 \(X_1\)-units (95% CI: LB, UB).
We will use: \(x_{1a}\) and \(x_{1b} = x_{1a} + 1\), with the implication that \(\Delta{x_1} = x_{1b} - x_{1a} = 1\)
Our goal is to get to a statement with \(\widehat{\beta}_1\) alone:
\[\begin{aligned} \widehat{Y}|x_{1a} = &\widehat{\beta}_0 + \widehat{\beta}_1 x_{1a} + \widehat{\beta}_2 X_2\\ \widehat{Y}|x_{1b} = &\widehat{\beta}_0 + \widehat{\beta}_1 x_{1b} + \widehat{\beta}_2 X_2\\ \widehat{Y}|x_{1b} - \widehat{Y}|x_{1a} = & \bigg[\widehat{\beta}_0 + \widehat{\beta}_1 x_{1b} + \widehat{\beta}_2 X_2\bigg] - \bigg[\widehat{\beta}_0 + \widehat{\beta}_1 x_{1a} + \widehat{\beta}_2 X_2\bigg] \\ \widehat{Y}|x_{1b} - \widehat{Y}|x_{1a} = & \widehat{\beta}_1 x_{1b} - \widehat{\beta}_1 x_{1a}\\ \widehat{Y}|x_{1b} - \widehat{Y}|x_{1a} = & \widehat{\beta}_1 (x_{1b} - x_{1a})\\ \widehat{Y}|x_{1b} - \widehat{Y}|x_{1a} = & \widehat{\beta}_1\\ \end{aligned}\]
Interpretation: For every increase of 1 \(X_1\)-unit in the \(X_1\)-variable, adjusting/controlling for \(X_2\)-variable, there is an expected increase/decrease of \(|\widehat\beta_1|\) units in the \(Y\)-variable (95%: LB, UB).
We can so the same for \(X_2\): \(x_{2a}\) and \(x_{2b} = x_{2a} + 1\), with the implication that \(\Delta{x_2} = x_{2b} - x_{2a} = 1\)
Our goal is to get to a statement with \(\widehat{\beta}_1\) alone:
\[\begin{aligned} \widehat{Y}|x_{2a} = &\widehat{\beta}_0 + \widehat{\beta}_1 x_{1a} + \widehat{\beta}_2 X_2\\ \widehat{Y}|x_{2b} = &\widehat{\beta}_0 + \widehat{\beta}_1 x_{1b} + \widehat{\beta}_2 X_2\\ \widehat{Y}|x_{2b} - \widehat{Y}|x_{2a} = & \bigg[\widehat{\beta}_0 + \widehat{\beta}_1 X_1 + \widehat{\beta}_2 x_{2b} \bigg] - \bigg[\widehat{\beta}_0 + \widehat{\beta}_1 X_1 + \widehat{\beta}_2 x_{2a}\bigg] \\ \widehat{Y}|x_{2b} - \widehat{Y}|x_{2a} = & \widehat{\beta}_2 x_{2b} - \widehat{\beta}_2 x_{2a}\\ \widehat{Y}|x_{2b} - \widehat{Y}|x_{2a} = & \widehat{\beta}_2 (x_{2b} - x_{2a})\\ \widehat{Y}|x_{2b} - \widehat{Y}|x_{2a} = & \widehat{\beta}_2\\ \end{aligned}\]
Interpretation: For every increase of 1 \(X_2\)-unit in the \(X_2\)-variable, adjusting/controlling for \(X_1\)-variable, there is an expected increase/decrease of \(|\widehat\beta_2|\) units in the \(Y\)-variable (95%: LB, UB).
We fit the regression model in R and printed the regression table:
| term | estimate | std.error | statistic | p.value | conf.low | conf.high |
|---|---|---|---|---|---|---|
| (Intercept) | 33.595 | 4.472 | 7.512 | 0.000 | 24.674 | 42.517 |
| FemaleLiteracyRate | 0.157 | 0.032 | 4.873 | 0.000 | 0.093 | 0.221 |
| FoodSupplykcPPD | 0.008 | 0.002 | 4.726 | 0.000 | 0.005 | 0.012 |
Fitted multiple regression model: \(\widehat{\text{LE}} = 33.595 + 0.157 \text{ FLR} + 0.008 \text{ FS}\)
Interpretation for \(\widehat{\beta}_0\)
The average life expectancy is 33.595 years when the female literacy rate is 0% and food supply is 0 kcal PPD (95% CI: 24.674, 41.517).
Interpretation for \(\widehat{\beta}_1\)
For every 1% increase in the female literacy rate, adjusting for food supply, there is an expected increase of 0.157 years in the life expectancy (95%: 0.093, 0.221).
Interpretation for \(\widehat{\beta}_2\)
For every 1 kcal PPD increase in the food supply, adjusting for female literacy rate, there is an expected increase of 0.008 years in life expectancy (95%: 0.005, 0.012).
Units of Y
Units of X
If discussing intercept: Mean or average or expected before Y
If discussing coefficient for continuous covariate: Mean or average or expected before difference, increase, or decrease
Confidence interval
If other covariates in the model
Discussing intercept: Must state that variables are equal to 0
Discussing coefficient for covariate: Must state “adjusting for all other variables”, “Controlling for all other variables”, or “Holding all other variables constant”
R) and understand the difference between fitted regression plane and regression lines.\[ \begin{aligned} SSE & = \displaystyle\sum^n_{i=1} \widehat\epsilon_i^2 \\ SSE & = \displaystyle\sum^n_{i=1} (Y_i - \widehat{Y}_i)^2 \\ SSE & = \displaystyle\sum^n_{i=1} (Y_i - (\widehat{\beta}_0 +\widehat{\beta}_1 X_{i1}+ \ldots+\widehat{\beta}_1 X_{ik}))^2 \\ SSE & = \displaystyle\sum^n_{i=1} (Y_i - \widehat{\beta}_0 -\widehat{\beta}_1 X_{i1}- \ldots-\widehat{\beta}_1 X_{ik})^2 \end{aligned}\]
The equations for calculating the \(\boldsymbol{\widehat{\beta}}\) values is best done using matrix notation (not required for our class)
We will be using R to get the coefficients instead of the equation (already did this a few slides back!)
How we have represented the population regression model: \[Y = \beta_0 + \beta_1 X_1 + \beta_2 X_2+ \ldots + \beta_k X_k + \epsilon\]
\[\begin{aligned} \boldsymbol{Y} &= \boldsymbol{X}\boldsymbol{\beta} + \boldsymbol{\epsilon} \\ \boldsymbol{Y}_{n \times 1}& = \boldsymbol{X}_{n \times (k+1)}\boldsymbol{\beta}_{(k+1)\times 1} + \boldsymbol{\epsilon}_{n \times 1} \end{aligned}\]
\[ \boldsymbol{Y} = \left[\begin{array}{c} Y_1 \\ Y_2 \\ \vdots \\ Y_n \end{array} \right]_{n \times 1} \] \[ \boldsymbol{\epsilon} = \left[\begin{array}{c} \epsilon_1 \\ \epsilon_2 \\ \vdots \\ \epsilon_n \end{array} \right]_{n \times 1} \]
\[ \boldsymbol{X} = \left[ \begin{array}{ccccc} 1 & X_{11} & X_{12} & \ldots & X_{1,k} \\ 1 &X_{21} & X_{22} & \ldots & X_{2,k} \\ \vdots&\vdots & \vdots & \ldots & \vdots \\ 1 & X_{n1} & X_{n2} & \ldots & X_{n,k} \end{array} \right]_{n \times (k+1)} \]
\[ \boldsymbol{\beta} = \left[\begin{array}{c} \beta_0 \\ \beta_1\\ \vdots \\ \beta_{k} \end{array} \right]_{(k+1)\times 1} \]
[L] Linearity of relationship between variables
The mean value of \(Y\) given any combination of \(X_1, X_2, \ldots, X_k\) values, is a linear function of \(\beta_0, \beta_1, \beta_2, \ldots, \beta_k\):
\[\mu_{Y|X_1, \ldots, X_k} = \beta_0 + \beta_1 X_1 + \beta_2 X_2+ \ldots + \beta_k X_k\]
[I] Independence of the \(Y\) values
Observations (\(X_1, X_2, \ldots, X_k, Y\)) are independent from one another
[N] Normality of the \(Y\)’s given \(X\) (residuals)
\(Y\) has a normal distribution for any any combination of \(X_1, X_2, \ldots, X_k\) values
[E] Equality of variance of the residuals (homoscedasticity)
The variance of \(Y\) is the same for any any combination of \(X_1, X_2, \ldots, X_k\) values
\[\sigma^2_{Y|X_1, X_2, \ldots, X_k} = Var(Y|X_1, X_2, \ldots, X_k) = \sigma^2\]
\[\begin{aligned} \sum_{i=1}^n (Y_i - \overline{Y})^2 &= \sum_{i=1}^n (\widehat{Y}_i- \overline{Y})^2 + \sum_{i=1}^n (Y_i - \widehat{Y}_i)^2 \\ SSY &= SSR + SSE \end{aligned}\]
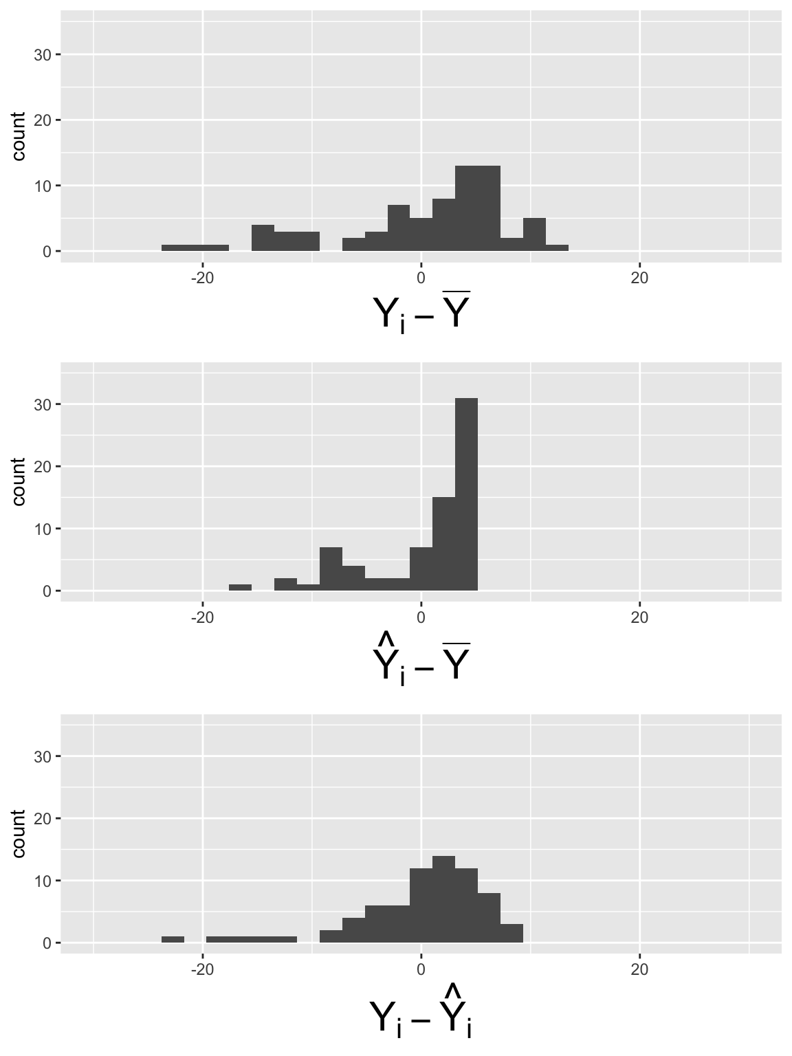
Let’s create a data frame of each component within the SS’s
Using our simple linear regression model as an example:
slr1 <- gapm_sub %>%
lm(formula = LifeExpectancyYrs ~ FemaleLiteracyRate)
aug_slr1 = augment(slr1)
SS_dev_slr = gapm_sub %>% select(LifeExpectancyYrs) %>%
mutate(SSY_dev = LifeExpectancyYrs - mean(LifeExpectancyYrs),
y_hat = aug_slr1$.fitted,
SSR_dev = y_hat - mean(LifeExpectancyYrs),
SSE_dev = aug_slr1$.resid)SSY_plot = ggplot(SS_dev_slr, aes(SSY_dev)) + geom_histogram() + xlim(-30, 30) + ylim(0, 35) + xlab(expression(Y[i] - bar(Y)))
SSR_plot = ggplot(SS_dev_slr, aes(SSR_dev)) + geom_histogram() + xlim(-30, 30) + ylim(0, 35) +xlab(expression(hat(Y)[i] - bar(Y)))
SSE_plot = ggplot(SS_dev_slr, aes(SSE_dev)) + geom_histogram() + xlim(-30, 30) + ylim(0, 35) + xlab(expression(Y[i] - hat(Y)[i]))
grid.arrange(SSY_plot, SSR_plot, SSE_plot, nrow = 3)
\[SSY = \sum_{i=1}^n (Y_i - \overline{Y})^2 = 64.64\]
\[SSR = \sum_{i=1}^n (\widehat{Y}_i- \overline{Y})^2 = 27.24\]
\[SSE =\sum_{i=1}^n (Y_i - \widehat{Y}_i)^2 = 37.39\]
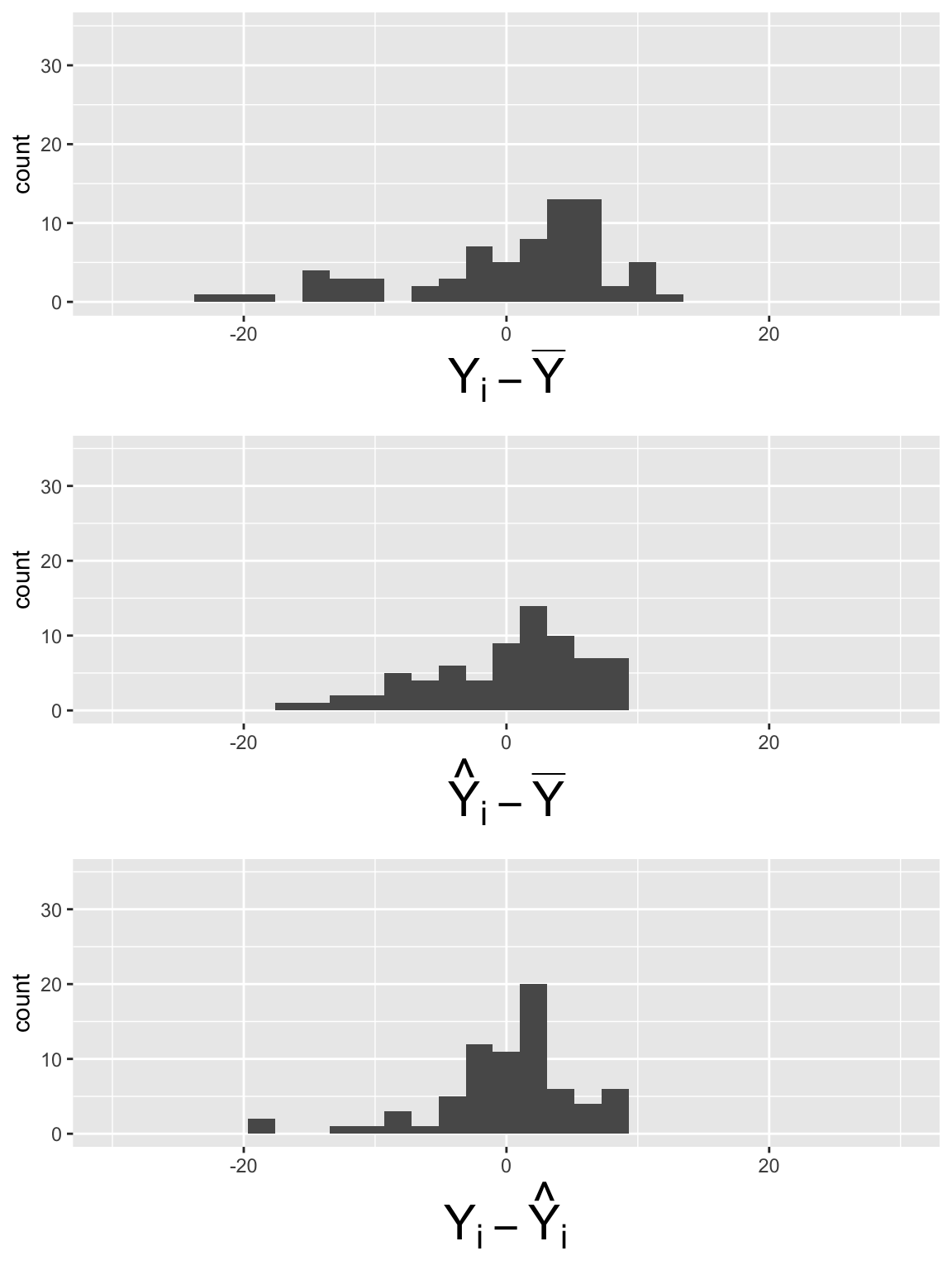
Let’s create a data frame of each component within the SS’s
Using our simple linear regression model as an example:
mr1 <- gapm_sub %>%
lm(formula = LifeExpectancyYrs ~ FemaleLiteracyRate + FoodSupplykcPPD)
aug_mlr1 = augment(mr1)
SS_df = gapm_sub %>% select(LifeExpectancyYrs) %>%
mutate(SSY_dev = LifeExpectancyYrs - mean(LifeExpectancyYrs),
y_hat = aug_mlr1$.fitted,
SSR_dev = y_hat - mean(LifeExpectancyYrs),
SSE_dev = aug_mlr1$.resid)SSY_plot = ggplot(SS_df, aes(SSY_dev)) + geom_histogram() + xlim(-30, 30) + ylim(0, 35) + xlab(expression(Y[i] - bar(Y)))
SSR_plot = ggplot(SS_df, aes(SSR_dev)) + geom_histogram() + xlim(-30, 30) + ylim(0, 35) +xlab(expression(hat(Y)[i] - bar(Y)))
SSE_plot = ggplot(SS_df, aes(SSE_dev)) + geom_histogram() + xlim(-30, 30) + ylim(0, 35) + xlab(expression(Y[i] - hat(Y)[i]))
grid.arrange(SSY_plot, SSR_plot, SSE_plot, nrow = 3)
\[SSY = \sum_{i=1}^n (Y_i - \overline{Y})^2 = 64.64\]
\[SSR = \sum_{i=1}^n (\widehat{Y}_i- \overline{Y})^2 = 36.39\]
\[SSE =\sum_{i=1}^n (Y_i - \widehat{Y}_i)^2 = 28.25\]
Simple Linear Regression
Multiple Linear Regression

\[SSY = 64.64\]
\[SSR = 27.24\]
\[SSE =37.39\]

\[SSY = 64.64\]
\[SSR = 36.39\]
\[SSE =28.25\]
Lesson 9: MLR Intro