Homework 6 Answers
BSTA 550
Questions
- Partial answers:
- \(p_{X|Y}(X=\text{high school}| Y=\text{no smoking at all}) = 0.476\)
- \(p_{Y|X}( Y=\text{no smoking at all}|X=\text{high school}) = 0.200\)
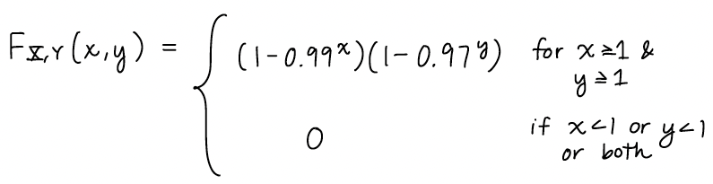
- \(p_{X,Y}(x,y) = [0.99^{x-1}0.01][0.97^{y-1}0.03]\) for \(x,y = 0, 1, 2, ...\)
And hint: 
- \(f_{X|Y}(x|y)=\frac{1}{2}\) for (need \(x\) and \(y\) domains)
- \(\frac{4}{7}\)
