2024-03-04
Understand the overall steps for purposeful selection as a model building strategy
Apply purposeful selection to a dataset using R
Use different approaches to assess the linear scale of continuous variables in logistic regression


Model Selection
Building a model
Selecting variables
Prediction vs interpretation
Comparing potential models
Model Fitting
Find best fit line
Using OLS in this class
Parameter estimation
Categorical covariates
Interactions
Model Evaluation
Model Use (Inference)
Apply purposeful selection to a dataset using R
Use different approaches to assess the linear scale of continuous variables in logistic regression
“Successful modeling of a complex data set is part science, part statistical methods, and part experience and common sense.”
Hosmer, Lemeshow, and Sturdivant Textbook, pg. 101
Exploratory data analysis
Check unadjusted associations in simple linear regression
Enter all covariates in model that meet some threshold
Remove those that no longer reach some threshold
Check scaling of continuous and coding of categorical covariates
Check for interactions
Assess model fit
Pre-step:
Step 1:
Step 2:
Step 3:
Step 4:
Step 5:
Step 6:
Exploratory data analysis (EDA)
Simple linear regressions / analysis
Preliminary variable selection
Assess change in coefficients
Assess scale for continuous variables
Check for interactions
Assess model fit
Things we have been doing over the quarter in class and in our project
I will not discuss some of the methods mentioned in our lab and data management class
A few things we can do:
Get to know the potential values for the data
Categories
Units
Then make sure the summary of values makes sense
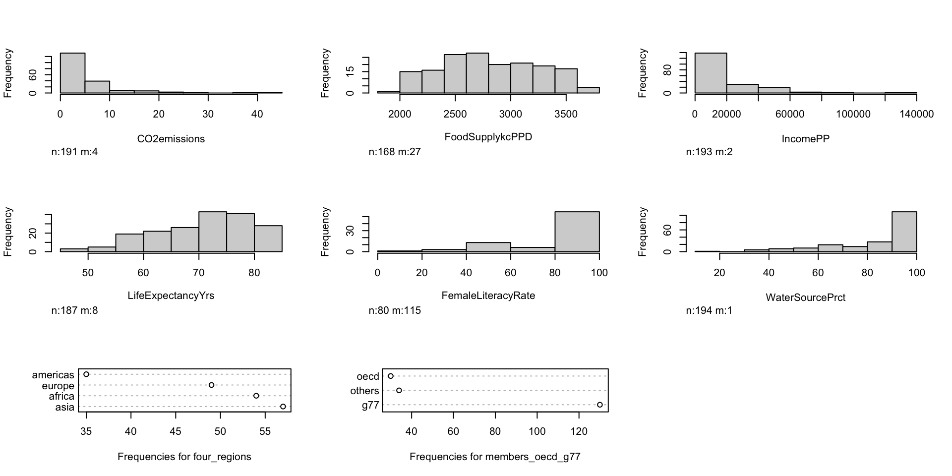
Look at a summary for the raw data
Typical use:
Note that skim(gapm) looks different because I had to create factors
I am breaking down the skim() function into the categorical and continuous variables only because I want to show them on the slides
Variable type: numeric
| skim_variable | n_missing | complete_rate | mean | sd | p0 | p25 | p50 | p75 | p100 | hist |
|---|---|---|---|---|---|---|---|---|---|---|
| CO2emissions | 4 | 0.98 | 4.55 | 6.10 | 0.03 | 0.64 | 2.41 | 6.22 | 41.20 | ▇▁▁▁▁ |
| ElectricityUsePP | 58 | 0.70 | 4220.92 | 5964.07 | 31.10 | 699.00 | 2410.00 | 5600.00 | 52400.00 | ▇▁▁▁▁ |
| FoodSupplykcPPD | 27 | 0.86 | 2825.06 | 443.59 | 1910.00 | 2490.00 | 2775.00 | 3172.50 | 3740.00 | ▅▇▇▇▅ |
| IncomePP | 2 | 0.99 | 16704.45 | 19098.61 | 614.00 | 3370.00 | 10100.00 | 22700.00 | 129000.00 | ▇▂▁▁▁ |
| LifeExpectancyYrs | 8 | 0.96 | 70.66 | 8.44 | 47.50 | 64.30 | 72.70 | 76.90 | 82.90 | ▁▃▃▇▇ |
| FemaleLiteracyRate | 115 | 0.41 | 81.65 | 21.95 | 13.00 | 70.97 | 91.60 | 98.03 | 99.80 | ▁▁▂▁▇ |
| WaterSourcePrct | 1 | 0.99 | 84.84 | 18.64 | 18.30 | 74.90 | 93.50 | 99.07 | 100.00 | ▁▁▂▂▇ |
| Latitude | 0 | 1.00 | 19.11 | 23.93 | -42.00 | 4.00 | 17.33 | 40.00 | 65.00 | ▁▃▇▆▅ |
| Longitude | 0 | 1.00 | 21.98 | 66.52 | -175.00 | -5.75 | 21.00 | 49.27 | 179.14 | ▁▃▇▃▂ |
| population_mill | 0 | 1.00 | 35.95 | 136.87 | 0.00 | 1.73 | 7.57 | 24.50 | 1370.00 | ▇▁▁▁▁ |
Started this a little bit in previous slide (skim()), but you may want to look at things like:
Can also look at visuals
For each covariate, we want to see how it relates to the outcome (without adjusting for other covariates)
We can partially do this with visualizations
Helps us see the data we throw it into regression that makes assumptions (like our LINE assumptions)
ggpairs() can be a quick way to do it
ggplot() can make each plot
+ geom_boxplot() to make boxplots by groups for categorical covariates+ geom_jitter() + stat_summary() to make non-overlaping points with group means for categorical covariates+ geom_point() to make scatterplots for continuous covariatesWe need to run simple linear regression
Let’s think back to our Gapminder dataset
Always good to start with our main relationship: life expectancy vs. female literacy rate
lm() for this relationship

| term | estimate | std.error | statistic | p.value |
|---|---|---|---|---|
| (Intercept) | 51.438 | 2.739 | 18.782 | 0.000 |
| FemaleLiteracyRate | 0.230 | 0.032 | 7.141 | 0.000 |
ggplot(gapm_sub, aes(x = four_regions, y = LifeExpectancyYrs)) +
geom_jitter(size = 1, alpha = .6, width = 0.2) +
stat_summary(fun = mean, geom = "point", size = 8, shape = 18) +
labs(x = "World region",
y = "Country life expectancy (years)",
title = "Life expectancy vs. world region",
caption = "Diamonds = region averages") +
theme(axis.title = element_text(size = 20),
axis.text = element_text(size = 20),
title = element_text(size = 20))
anova(model_WR) %>% tidy() %>% gt() %>%
tab_options(table.font.size = 40) %>%
fmt_number(decimals = 3)| term | df | sumsq | meansq | statistic | p.value |
|---|---|---|---|---|---|
| four_regions | 3.000 | 2,743.042 | 914.347 | 33.680 | 0.000 |
| Residuals | 68.000 | 1,846.077 | 27.148 | NA | NA |
Recall from Lesson 5 (SLR: More inference + Evaluation):
anova() with one model name will compare the model (model_WR) to the intercept modelIf we do a good job visualizing the relationship between our outcome and each covariate, then we can proceed to a streamlined version of the F-test for each relationship
First, I will select the variables that we are considering for model selection:
Now I can run the lapply() function, which allows me to run the same function multiple times over all the columns in gapm3
For each covariate I am running: lm(gapm2$LifeExpectancyYrs ~ x) %>% anova()
$CO2emissions
Analysis of Variance Table
Response: gapm2$LifeExpectancyYrs
Df Sum Sq Mean Sq F value Pr(>F)
x 1 452.3 452.31 7.6536 0.007241 **
Residuals 70 4136.8 59.10
---
Signif. codes: 0 '***' 0.001 '**' 0.01 '*' 0.05 '.' 0.1 ' ' 1
$FoodSupplykcPPD
Analysis of Variance Table
Response: gapm2$LifeExpectancyYrs
Df Sum Sq Mean Sq F value Pr(>F)
x 1 1893.4 1893.44 49.168 1.188e-09 ***
Residuals 70 2695.7 38.51
---
Signif. codes: 0 '***' 0.001 '**' 0.01 '*' 0.05 '.' 0.1 ' ' 1
$IncomePP
Analysis of Variance Table
Response: gapm2$LifeExpectancyYrs
Df Sum Sq Mean Sq F value Pr(>F)
x 1 1220.3 1220.34 25.358 3.557e-06 ***
Residuals 70 3368.8 48.13
---
Signif. codes: 0 '***' 0.001 '**' 0.01 '*' 0.05 '.' 0.1 ' ' 1
$FemaleLiteracyRate
Analysis of Variance Table
Response: gapm2$LifeExpectancyYrs
Df Sum Sq Mean Sq F value Pr(>F)
x 1 1934.2 1934.24 50.999 6.895e-10 ***
Residuals 70 2654.9 37.93
---
Signif. codes: 0 '***' 0.001 '**' 0.01 '*' 0.05 '.' 0.1 ' ' 1
$WaterSourcePrct
Analysis of Variance Table
Response: gapm2$LifeExpectancyYrs
Df Sum Sq Mean Sq F value Pr(>F)
x 1 2988.2 2988.20 130.66 < 2.2e-16 ***
Residuals 70 1600.9 22.87
---
Signif. codes: 0 '***' 0.001 '**' 0.01 '*' 0.05 '.' 0.1 ' ' 1
$four_regions
Analysis of Variance Table
Response: gapm2$LifeExpectancyYrs
Df Sum Sq Mean Sq F value Pr(>F)
x 3 2743.0 914.35 33.68 1.858e-13 ***
Residuals 68 1846.1 27.15
---
Signif. codes: 0 '***' 0.001 '**' 0.01 '*' 0.05 '.' 0.1 ' ' 1
$members_oecd_g77
Analysis of Variance Table
Response: gapm2$LifeExpectancyYrs
Df Sum Sq Mean Sq F value Pr(>F)
x 2 1103.7 551.85 10.925 7.553e-05 ***
Residuals 69 3485.4 50.51
---
Signif. codes: 0 '***' 0.001 '**' 0.01 '*' 0.05 '.' 0.1 ' ' 1
CO2emissions FoodSupplykcPPD IncomePP FemaleLiteracyRate
[1,] 0.007241207 1.187753e-09 3.557341e-06 6.894997e-10
[2,] NA NA NA NA
WaterSourcePrct four_regions members_oecd_g77
[1,] 1.148644e-17 1.857818e-13 7.55261e-05
[2,] NA NA NA
Row 1 is the p-value for the F-test
Identify candidates for your first multivariable model by performing an F-test on each covariate’s SLR
Candidates for first multivariable model
From the previous p-values from the F-test on each covariate’s SLR
CO2emissions FoodSupplykcPPD IncomePP FemaleLiteracyRate
[1,] 0.007241207 1.187753e-09 3.557341e-06 6.894997e-10
[2,] NA NA NA NA
WaterSourcePrct four_regions members_oecd_g77
[1,] 1.148644e-17 1.857818e-13 7.55261e-05
[2,] NA NA NA
init_model = lm(LifeExpectancyYrs ~ FemaleLiteracyRate + CO2emissions + IncomePP +
four_regions + WaterSourcePrct + FoodSupplykcPPD + members_oecd_g77,
data = gapm2)
tidy(init_model, conf.int = T) %>% gt() %>% tab_options(table.font.size = 30) %>%
fmt_number(decimals = 4)| term | estimate | std.error | statistic | p.value | conf.low | conf.high |
|---|---|---|---|---|---|---|
| (Intercept) | 37.5560 | 4.4083 | 8.5194 | 0.0000 | 28.7410 | 46.3710 |
| FemaleLiteracyRate | 0.0020 | 0.0352 | 0.0580 | 0.9539 | −0.0684 | 0.0725 |
| CO2emissions | −0.2860 | 0.1340 | −2.1344 | 0.0368 | −0.5539 | −0.0181 |
| IncomePP | 0.0002 | 0.0001 | 2.4133 | 0.0188 | 0.0000 | 0.0003 |
| four_regionsAmericas | 9.8963 | 2.0031 | 4.9405 | 0.0000 | 5.8909 | 13.9017 |
| four_regionsAsia | 5.7849 | 1.5993 | 3.6172 | 0.0006 | 2.5870 | 8.9829 |
| four_regionsEurope | 7.1421 | 2.6994 | 2.6458 | 0.0104 | 1.7442 | 12.5399 |
| WaterSourcePrct | 0.1377 | 0.0658 | 2.0928 | 0.0405 | 0.0061 | 0.2693 |
| FoodSupplykcPPD | 0.0052 | 0.0021 | 2.4961 | 0.0153 | 0.0010 | 0.0093 |
| members_oecd_g77oecd | −0.3317 | 2.5476 | −0.1302 | 0.8968 | −5.4259 | 4.7625 |
| members_oecd_g77others | 0.3341 | 2.2986 | 0.1453 | 0.8849 | −4.2622 | 4.9304 |
I would start by using the p-value to guide me towards specific variables
members_oecd_g77
Some people will say you can use the p-value alone
| term | estimate | std.error | statistic | p.value |
|---|---|---|---|---|
| (Intercept) | 37.5560 | 4.4083 | 8.5194 | 0.0000 |
| FemaleLiteracyRate | 0.0020 | 0.0352 | 0.0580 | 0.9539 |
| CO2emissions | −0.2860 | 0.1340 | −2.1344 | 0.0368 |
| IncomePP | 0.0002 | 0.0001 | 2.4133 | 0.0188 |
| four_regionsAmericas | 9.8963 | 2.0031 | 4.9405 | 0.0000 |
| four_regionsAsia | 5.7849 | 1.5993 | 3.6172 | 0.0006 |
| four_regionsEurope | 7.1421 | 2.6994 | 2.6458 | 0.0104 |
| WaterSourcePrct | 0.1377 | 0.0658 | 2.0928 | 0.0405 |
| FoodSupplykcPPD | 0.0052 | 0.0021 | 2.4961 | 0.0153 |
| members_oecd_g77oecd | −0.3317 | 2.5476 | −0.1302 | 0.8968 |
| members_oecd_g77others | 0.3341 | 2.2986 | 0.1453 | 0.8849 |
One variable at a time, we run the multivariable model with and without the variable
General rule: We can remove a variable if…
members_oecd_g77| term | df.residual | rss | df | sumsq | statistic | p.value |
|---|---|---|---|---|---|---|
| LifeExpectancyYrs ~ FemaleLiteracyRate + CO2emissions + IncomePP + four_regions + WaterSourcePrct + FoodSupplykcPPD + members_oecd_g77 | 61.000 | 999.201 | NA | NA | NA | NA |
| LifeExpectancyYrs ~ FemaleLiteracyRate + CO2emissions + IncomePP + four_regions + WaterSourcePrct + FoodSupplykcPPD | 63.000 | 1,000.988 | −2.000 | −1.787 | 0.055 | 0.947 |
\[ \Delta\% = 100\% \cdot \frac{\widehat\beta_{FLR, full} - \widehat\beta_{FLR, red}}{\widehat\beta_{FLR, full}} = 100\% \cdot \frac{0.002 - 0.0036}{0.002} = -74.41\% \]
| term | df.residual | rss | df | sumsq | statistic | p.value |
|---|---|---|---|---|---|---|
| LifeExpectancyYrs ~ FemaleLiteracyRate + CO2emissions + IncomePP + four_regions + WaterSourcePrct + FoodSupplykcPPD + members_oecd_g77 | 61.000 | 999.201 | NA | NA | NA | NA |
| LifeExpectancyYrs ~ FemaleLiteracyRate + CO2emissions + IncomePP + four_regions + members_oecd_g77 + FoodSupplykcPPD | 62.000 | 1,070.944 | −1.000 | −71.744 | 4.380 | 0.041 |
\[ \Delta\% = 100\% \cdot \frac{\widehat\beta_{FLR, full} - \widehat\beta_{FLR, red}}{\widehat\beta_{FLR, full}} = 100\% \cdot \frac{0.002 - 0.034}{0.002} = -1561.06\% \]
At the end of this step, we have a preliminary main effects model
Where the variables are excluded that met the following criteria:
In our example, the preliminary main effects model (end of Step 3) was the same as the initial model (end of Step 2)
Preliminary main effects model includes:
Pre-step: Exploratory data analysis
Step 1: Simple linear regressions / analysis
Look at each covariate with outcome
Perform SLR for each covariate
Step 2: Preliminary variable selection
From SLR, decide which variables go into the initial model
Use F-test to see if each covariate (on its own) explains enough variation in outcome
End with initial model
Step 3: Assess change in coefficients
From the initial model at end of step 2, we take a variable out of the model if:
P-value > 0.05 for the F-test of its own coefficients
Change in coefficient (\(\Delta\%\)) of our explanatory variable is < 10%
End with preliminary main effects model
Understand the overall steps for purposeful selection as a model building strategy
Apply purposeful selection to a dataset using R
We assume the linear regression model is linear for each continuous variable
We need to assess linearity for continuous variables in the model
Three methods/approaches to address the violation of linearity assumption:
Approach will depend on the covariate!!
For our class, only implement Approach 1 or 2
Model at the end of Step 4 is the main effects model
Can also identify extreme observations
Again, just want to flag these values
Can influence the assessment of linearity when using fractional polynomials or spline functions
Helps us decide if the continuous variable can stay as is in the model
In Gapminder dataset, we have 5 continuous variables:
Plot each of these agains the outcome, life expectancy
CO2 = ggplot(data = gapm2, aes(y = LifeExpectancyYrs, x = CO2emissions)) +
geom_point() +
geom_smooth(se=F) + labs(x = "CO2 Emissions (kt)", y = "Life Expectancy (yrs)")
FS = ggplot(data = gapm2, aes(y = LifeExpectancyYrs, x = FoodSupplykcPPD)) +
geom_point() +
geom_smooth(se=F) + labs(x = "Food Supply (kcal PPD)", y = "Life Expectancy (yrs)")
Income = ggplot(data = gapm2, aes(y = LifeExpectancyYrs, x = IncomePP)) +
geom_point() +
geom_smooth(se=F) + labs(x = "Income (GDP per capita)", y = "Life Expectancy (yrs)")
grid.arrange(CO2, FS, Income, nrow=1)CO2 = ggplot(data = gapm2, aes(y = LifeExpectancyYrs, x = CO2emissions)) +
geom_point() + xlim(0,10) +
geom_smooth(se=F) + labs(x = "CO2 Emissions (kt)", y = "Life Expectancy (yrs)")
FS = ggplot(data = gapm2, aes(y = LifeExpectancyYrs, x = FoodSupplykcPPD)) +
geom_point() +
geom_smooth(se=F) + labs(x = "Food Supply (kcal PPD)", y = "Life Expectancy (yrs)")
Income = ggplot(data = gapm2, aes(y = LifeExpectancyYrs, x = IncomePP)) +
geom_point() + xlim(0,40000) +
geom_smooth(se=F) + labs(x = "Income (GDP per capita)", y = "Life Expectancy (yrs)")
grid.arrange(CO2, FS, Income, nrow=1)Three methods/approaches to address the violation of linearity assumption:
Categorize continuous variables
Percentiles, quartiles, quantiles
Meaningful thresholds
Disadvantages:
Takes some time to create new variables, especially with multiple continuous covariates
Start with quartiles, but might be more appropriate to use different splits
Advantage: graphical and visually helps
For income, I would use Gapminder’s income level groups
Experts in the field have developed these income groups

Let’s still try it out with CO2 Emissions (kt)
I have plotted the quartile lines of food supply with red lines
vline_coordinates= data.frame(Quantile_Name=names(quantile(gapm2$CO2emissions)),
quantile_values=as.numeric(quantile(gapm2$CO2emissions)))
ggplot(data = gapm2, aes(y = LifeExpectancyYrs, x = CO2emissions)) +
geom_point(size = 3) +
#geom_smooth(se=F) +
labs(x = "CO2 Emissions (kt)", y = "Life Expectancy (yrs)") +
geom_vline(data = vline_coordinates, aes(xintercept = quantile_values),
color = "red", linetype = "dashed", size = 2) +
theme(axis.title = element_text(size = 25),
axis.text = element_text(size = 25),
title = element_text(size = 25))
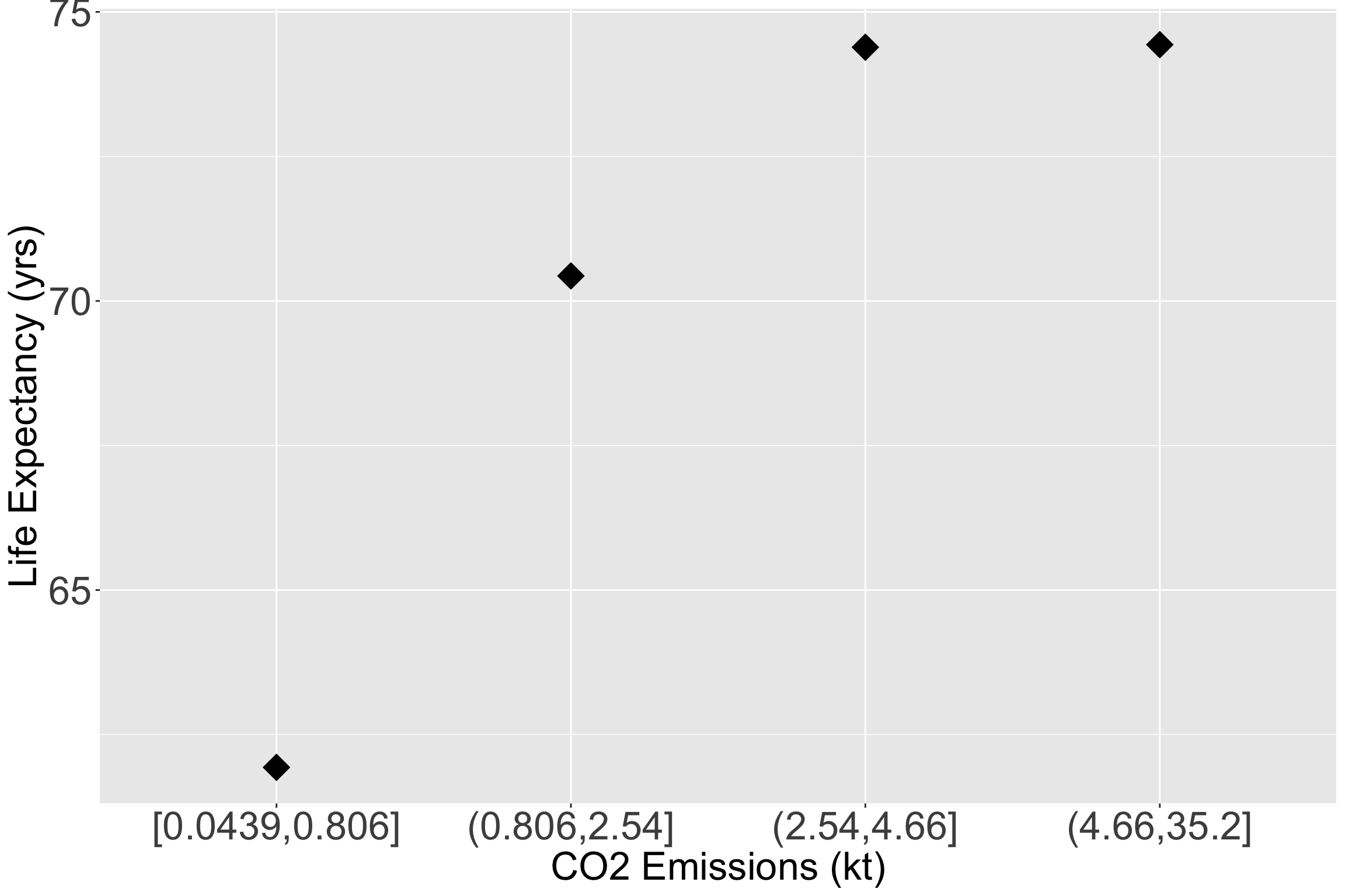
ggplot(data = gapm2, aes(y = LifeExpectancyYrs, x = CO2_q)) +
# geom_point(size = 3, aes(y = LifeExpectancyYrs, x = CO2emissions)) +
stat_summary(fun = mean, geom = "point", size = 8, shape = 18) +
#geom_smooth(se=F) +
labs(x = "CO2 Emissions (kt)", y = "Life Expectancy (yrs)") +
theme(axis.title = element_text(size = 25),
axis.text = element_text(size = 25),
title = element_text(size = 25))
| term | estimate | std.error | statistic | p.value |
|---|---|---|---|---|
| (Intercept) | 39.877 | 4.889 | 8.157 | 0.000 |
| FemaleLiteracyRate | −0.073 | 0.047 | −1.555 | 0.125 |
| CO2_q(0.806,2.54] | 1.099 | 1.914 | 0.574 | 0.568 |
| CO2_q(2.54,4.66] | −0.292 | 2.419 | −0.121 | 0.904 |
| CO2_q(4.66,35.2] | −0.595 | 2.524 | −0.236 | 0.814 |
| income_levels1Lower middle income | 5.441 | 2.343 | 2.322 | 0.024 |
| income_levels1Upper middle income | 6.111 | 2.954 | 2.069 | 0.043 |
| income_levels1High income | 7.959 | 3.277 | 2.429 | 0.018 |
| four_regionsAmericas | 9.003 | 2.050 | 4.391 | 0.000 |
| four_regionsAsia | 5.260 | 1.637 | 3.213 | 0.002 |
| four_regionsEurope | 6.855 | 2.871 | 2.387 | 0.020 |
| WaterSourcePrct | 0.166 | 0.066 | 2.496 | 0.015 |
| FoodSupplykcPPD | 0.004 | 0.002 | 1.825 | 0.073 |
| members_oecd_g77oecd | 1.119 | 2.674 | 0.418 | 0.677 |
| members_oecd_g77others | 1.047 | 2.511 | 0.417 | 0.678 |
Main concepts and transformations presented in Lesson 7 SLR: Model Evaluation and Diagnostics (slide 33 on)
Idea: test many transformations of a continuous covariate
Recall Tukey’s transformation (power) ladder
R’s gladder() to see the transformations| Power p | -3 | -2 | -1 | -1/2 | 0 | 1/2 | 1 | 2 | 3 |
|---|---|---|---|---|---|---|---|---|---|
| \(\frac{1}{x^3}\) | \(\frac{1}{x^2}\) | \(\frac{1}{x}\) | \(\frac{1}{\sqrt{x}}\) | \(\log(x)\) | \(\sqrt{x}\) | \(x\) | \(x^2\) | \(x^3\) |
We can run through each and test different models, or use the approach from Lesson 7
There is also a package we can use!
library(mfp)
fp_model_CO2 = mfp(LifeExpectancyYrs ~ FemaleLiteracyRate +
fp(CO2emissions, df = 4) + income_levels1 + four_regions +
WaterSourcePrct + FoodSupplykcPPD + members_oecd_g77,
data = gapm2, family = "gaussian")
fp_model_CO2$fptable %>% gt(rownames_to_stub = T) %>% tab_options(table.font.size = 24)| df.initial | select | alpha | df.final | power1 | power2 | |
|---|---|---|---|---|---|---|
| four_regionsAmericas | 1 | 1 | 0.05 | 1 | 1 | . |
| four_regionsAsia | 1 | 1 | 0.05 | 1 | 1 | . |
| four_regionsEurope | 1 | 1 | 0.05 | 1 | 1 | . |
| WaterSourcePrct | 1 | 1 | 0.05 | 1 | 1 | . |
| income_levels1Lower middle income | 1 | 1 | 0.05 | 1 | 1 | . |
| income_levels1Upper middle income | 1 | 1 | 0.05 | 1 | 1 | . |
| income_levels1High income | 1 | 1 | 0.05 | 1 | 1 | . |
| FoodSupplykcPPD | 1 | 1 | 0.05 | 1 | 1 | . |
| FemaleLiteracyRate | 1 | 1 | 0.05 | 1 | 1 | . |
| CO2emissions | 4 | 1 | 0.05 | 1 | 1 | . |
| members_oecd_g77oecd | 1 | 1 | 0.05 | 1 | 1 | . |
| members_oecd_g77others | 1 | 1 | 0.05 | 1 | 1 | . |
| df.initial | select | alpha | df.final | power1 | power2 | |
|---|---|---|---|---|---|---|
| four_regionsAmericas | 1 | 1 | 0.05 | 1 | 1 | . |
| four_regionsAsia | 1 | 1 | 0.05 | 1 | 1 | . |
| four_regionsEurope | 1 | 1 | 0.05 | 1 | 1 | . |
| WaterSourcePrct | 1 | 1 | 0.05 | 1 | 1 | . |
| income_levels1Lower middle income | 1 | 1 | 0.05 | 1 | 1 | . |
| income_levels1Upper middle income | 1 | 1 | 0.05 | 1 | 1 | . |
| income_levels1High income | 1 | 1 | 0.05 | 1 | 1 | . |
| FoodSupplykcPPD | 1 | 1 | 0.05 | 1 | 1 | . |
| FemaleLiteracyRate | 1 | 1 | 0.05 | 1 | 1 | . |
| CO2emissions | 4 | 1 | 0.05 | 1 | 1 | . |
| members_oecd_g77oecd | 1 | 1 | 0.05 | 1 | 1 | . |
| members_oecd_g77others | 1 | 1 | 0.05 | 1 | 1 | . |
Conclusion from fractional polynomial is that CO2 does not need to be transformed
A little counter-intuitive to what we saw in quartiles
Thus, I think leaving CO2 emissions as quartiles is best!


Need to specify knots for spline functions
If you think this is cool, I highly suggest you look into Functional Data Analysis (FDA) or Functional Regression
In R there are a few options to incorporate splines
pspline( ): More information
smoothHR(): More information
We concluded that we will use:
| term | estimate | std.error | statistic | p.value |
|---|---|---|---|---|
| (Intercept) | 39.877 | 4.889 | 8.157 | 0.000 |
| FemaleLiteracyRate | −0.073 | 0.047 | −1.555 | 0.125 |
| CO2_q(0.806,2.54] | 1.099 | 1.914 | 0.574 | 0.568 |
| CO2_q(2.54,4.66] | −0.292 | 2.419 | −0.121 | 0.904 |
| CO2_q(4.66,35.2] | −0.595 | 2.524 | −0.236 | 0.814 |
| income_levels1Lower middle income | 5.441 | 2.343 | 2.322 | 0.024 |
| income_levels1Upper middle income | 6.111 | 2.954 | 2.069 | 0.043 |
| income_levels1High income | 7.959 | 3.277 | 2.429 | 0.018 |
| four_regionsAmericas | 9.003 | 2.050 | 4.391 | 0.000 |
| four_regionsAsia | 5.260 | 1.637 | 3.213 | 0.002 |
| four_regionsEurope | 6.855 | 2.871 | 2.387 | 0.020 |
| WaterSourcePrct | 0.166 | 0.066 | 2.496 | 0.015 |
| FoodSupplykcPPD | 0.004 | 0.002 | 1.825 | 0.073 |
| members_oecd_g77oecd | 1.119 | 2.674 | 0.418 | 0.677 |
| members_oecd_g77others | 1.047 | 2.511 | 0.417 | 0.678 |
Add the interaction variables, one at a time, to the main effects model, and assess the significance using a likelihood ratio test or Wald test
| term | estimate | std.error | statistic | p.value |
|---|---|---|---|---|
| (Intercept) | 37.326 | 5.463 | 6.833 | 0.000 |
| FemaleLiteracyRate | −0.035 | 0.058 | −0.602 | 0.550 |
| CO2_q(0.806,2.54] | 9.049 | 7.248 | 1.249 | 0.217 |
| CO2_q(2.54,4.66] | 7.843 | 16.082 | 0.488 | 0.628 |
| CO2_q(4.66,35.2] | −5.980 | 25.867 | −0.231 | 0.818 |
| income_levels1Lower middle income | 4.032 | 2.661 | 1.515 | 0.136 |
| income_levels1Upper middle income | 4.997 | 3.239 | 1.543 | 0.129 |
| income_levels1High income | 6.825 | 3.549 | 1.923 | 0.060 |
| four_regionsAmericas | 9.317 | 2.193 | 4.250 | 0.000 |
| four_regionsAsia | 5.412 | 1.668 | 3.246 | 0.002 |
| four_regionsEurope | 7.267 | 2.992 | 2.429 | 0.018 |
| WaterSourcePrct | 0.178 | 0.070 | 2.529 | 0.014 |
| FoodSupplykcPPD | 0.004 | 0.002 | 1.706 | 0.094 |
| members_oecd_g77oecd | 0.798 | 2.731 | 0.292 | 0.771 |
| members_oecd_g77others | 1.121 | 2.588 | 0.433 | 0.667 |
| FemaleLiteracyRate:CO2_q(0.806,2.54] | −0.104 | 0.091 | −1.144 | 0.258 |
| FemaleLiteracyRate:CO2_q(2.54,4.66] | −0.104 | 0.177 | −0.590 | 0.557 |
| FemaleLiteracyRate:CO2_q(4.66,35.2] | 0.038 | 0.268 | 0.141 | 0.889 |
You can alse go straight to using the anova() function to compare the preliminary model.
anova_res = lapply(interactions,
function(int) anova(lm(reformulate(c(vars, int), "LifeExpectancyYrs"),
data = gapm2), main_eff_model))
anova_res[[1]] %>% tidy() %>%
gt() %>% tab_options(table.font.size = 35) %>% fmt_number(decimals = 3)| term | df.residual | rss | df | sumsq | statistic | p.value |
|---|---|---|---|---|---|---|
| LifeExpectancyYrs ~ FemaleLiteracyRate + CO2_q + income_levels1 + four_regions + WaterSourcePrct + FoodSupplykcPPD + members_oecd_g77 + FemaleLiteracyRate * CO2_q | 54.000 | 919.287 | NA | NA | NA | NA |
| LifeExpectancyYrs ~ FemaleLiteracyRate + CO2_q + income_levels1 + four_regions + WaterSourcePrct + FoodSupplykcPPD + members_oecd_g77 | 57.000 | 946.458 | −3.000 | −27.171 | 0.532 | 0.662 |
I went through all the ANOVA tables, and found the following significant interactions:
[[1]]
Analysis of Variance Table
Model 1: LifeExpectancyYrs ~ FemaleLiteracyRate + CO2_q + income_levels1 +
four_regions + WaterSourcePrct + FoodSupplykcPPD + members_oecd_g77 +
FemaleLiteracyRate * CO2_q
Model 2: LifeExpectancyYrs ~ FemaleLiteracyRate + CO2_q + income_levels1 +
four_regions + WaterSourcePrct + FoodSupplykcPPD + members_oecd_g77
Res.Df RSS Df Sum of Sq F Pr(>F)
1 54 919.29
2 57 946.46 -3 -27.171 0.532 0.6623
[[2]]
Analysis of Variance Table
Model 1: LifeExpectancyYrs ~ FemaleLiteracyRate + CO2_q + income_levels1 +
four_regions + WaterSourcePrct + FoodSupplykcPPD + members_oecd_g77 +
FemaleLiteracyRate * income_levels1
Model 2: LifeExpectancyYrs ~ FemaleLiteracyRate + CO2_q + income_levels1 +
four_regions + WaterSourcePrct + FoodSupplykcPPD + members_oecd_g77
Res.Df RSS Df Sum of Sq F Pr(>F)
1 54 933.66
2 57 946.46 -3 -12.802 0.2468 0.8633
[[3]]
Analysis of Variance Table
Model 1: LifeExpectancyYrs ~ FemaleLiteracyRate + CO2_q + income_levels1 +
four_regions + WaterSourcePrct + FoodSupplykcPPD + members_oecd_g77 +
FemaleLiteracyRate * four_regions
Model 2: LifeExpectancyYrs ~ FemaleLiteracyRate + CO2_q + income_levels1 +
four_regions + WaterSourcePrct + FoodSupplykcPPD + members_oecd_g77
Res.Df RSS Df Sum of Sq F Pr(>F)
1 54 850.47
2 57 946.46 -3 -95.987 2.0315 0.1203
[[4]]
Analysis of Variance Table
Model 1: LifeExpectancyYrs ~ FemaleLiteracyRate + CO2_q + income_levels1 +
four_regions + WaterSourcePrct + FoodSupplykcPPD + members_oecd_g77 +
FemaleLiteracyRate * WaterSourcePrct
Model 2: LifeExpectancyYrs ~ FemaleLiteracyRate + CO2_q + income_levels1 +
four_regions + WaterSourcePrct + FoodSupplykcPPD + members_oecd_g77
Res.Df RSS Df Sum of Sq F Pr(>F)
1 56 943.42
2 57 946.46 -1 -3.0399 0.1804 0.6726
[[5]]
Analysis of Variance Table
Model 1: LifeExpectancyYrs ~ FemaleLiteracyRate + CO2_q + income_levels1 +
four_regions + WaterSourcePrct + FoodSupplykcPPD + members_oecd_g77 +
FemaleLiteracyRate * FoodSupplykcPPD
Model 2: LifeExpectancyYrs ~ FemaleLiteracyRate + CO2_q + income_levels1 +
four_regions + WaterSourcePrct + FoodSupplykcPPD + members_oecd_g77
Res.Df RSS Df Sum of Sq F Pr(>F)
1 56 915.40
2 57 946.46 -1 -31.063 1.9003 0.1735
[[6]]
Analysis of Variance Table
Model 1: LifeExpectancyYrs ~ FemaleLiteracyRate + CO2_q + income_levels1 +
four_regions + WaterSourcePrct + FoodSupplykcPPD + members_oecd_g77 +
FemaleLiteracyRate * members_oecd_g77
Model 2: LifeExpectancyYrs ~ FemaleLiteracyRate + CO2_q + income_levels1 +
four_regions + WaterSourcePrct + FoodSupplykcPPD + members_oecd_g77
Res.Df RSS Df Sum of Sq F Pr(>F)
1 55 934.95
2 57 946.46 -2 -11.513 0.3386 0.7142
Methods will be discussed next class
Combination of diagnostics and model fit statistics!
Look at model fit statistics in this lesson
Look at diagnostics in Lesson 14: MLR Diagnostics
Our final model contains
Female Literacy Rate FLR
CO2 Emissions in quartiles CO2_q
Income levels in groups assigned by Gapminder income_levels
World regions four_regions
Membership of global and economic groups members_oecd_g77
Food Supply FoodSupplykcPPD
Clean Water Supply WaterSupplePct
sum_fm = summary(final_model)
model_fit_stats = data.frame(Model = "Final model",
Adjusted_R_sq = sum_fm$adj.r.squared,
AIC = AIC(final_model), BIC = BIC(final_model))
model_fit_stats %>% gt() %>%
tab_options(table.font.size = 35) %>% fmt_number(decimals = 3)| Model | Adjusted_R_sq | AIC | BIC |
|---|---|---|---|
| Final model | 0.743 | 421.804 | 458.230 |
glance() in broom package)Remember the preliminary main effects model (at end of Step 3): same as final model but the continuous varaibles, income and CO2 emissions, were not categorized
We can compare model fit statistics of the preliminary main effects model and the final model
fm_glance = glance(final_model) %>% mutate(Model = "Final model") %>%
select(Model, `Adj R-squared` = adj.r.squared, AIC, BIC)
pmem_glance = glance(prelim_me_model) %>%
mutate(Model = "Preliminary main effects model") %>%
select(Model, `Adj R-squared` = adj.r.squared, AIC, BIC)
rbind(fm_glance, pmem_glance) %>% gt() %>%
tab_options(table.font.size = 35) %>% fmt_number(decimals = 3)| Model | Adj R-squared | AIC | BIC |
|---|---|---|---|
| Final model | 0.743 | 421.804 | 458.230 |
| Preliminary main effects model | 0.747 | 417.708 | 445.028 |
Remember, adjusted \(R^2\), AIC, and BIC penalize models for more coefficients
Preliminary main effects model: better fit statistics, but violates linearity assumption
Purposeful Selection